close
预约产品演示
请完善以下信息,我们将联系您进行演示
*
*
我已阅读并同意《隐私政策》
close
预约数据分析
请完善以下信息,我们将联系您进行沟通
*
*
我已阅读并同意《隐私政策》
close
联系我们
请完善以下信息,我们将尽快与您取得联系
*
*
我已阅读并同意《隐私政策》

往期精彩|J Affect Disorders:电休克治疗后通过结构网络成像分析重度抑郁症患者与健康对照者的三重网络连接变化

发布:2026-02-24    浏览:359 次

1 研究背景

重度抑郁症(MDD)影响全球逾3亿人,以情绪与认知功能障碍为核心,伴随海马、杏仁核等灰质减少及三重网络(突显-SN、默认-DMN、中央执行-CEN)的结构-功能连接紊乱,但其结构层面的动态连接机制尚不明确;电休克治疗(ECT)虽为难治性MDD有效疗法,可改变前额叶等脑区结构,但对三重网络结构连接的具体作用,尤其是基于结构MRI的动态网络连接(dSNC)影响,仍缺乏研究。

研究的使用电休克治疗法结合sMRI,研究基于三重网络模型,探讨电休克治疗(ECT)对重度抑郁症(MDD)患者动态结构网络连接的影响。研究表明,电休克治疗可能是针对 MDD 患者 SN 结构变化和三个核心大脑网络之间直接通信异常的一种有效且微创的治疗方法,可能有益于间接连接的纠正。

2 被试与研究方法

从职业与环境健康大学(UOEH)精神病学系的住院和门诊诊所招募了21 名首次发作、未使用药物的重度抑郁症(MDD)患者(名男性,12 名女性,平均年龄:44.19± 14.621 岁),并从社区通过广告招募了 21 名年龄和性别匹配的健康对照者(名男性,12 名女性,平均年龄:44.48± 14.250 岁)(表 1)。本研究获得了 UOEH 伦理委员会的批准,并依据《赫尔辛基宣言》进行。

1. 健康对照组和重度抑郁症患者的流行病学和临床特征

图片

缩写:HCs,健康对照者;MDD,重度抑郁症;HAMD17 项汉密尔顿抑郁量表;ECT,电休克治疗。p < 0.05 被认为具有统计学意义。

所有参与者均在充分了解研究内容后签署书面知情同意书。所有重度抑郁症(MDD)患者均符合以下标准:

1)根据《精神疾病诊断与统计手册》第五版(DSM-V)(《精神疾病诊断与统计手册,第五版》,2013 年)的标准新诊断为 MDD,并符合改良电休克(ECT)治疗的临床指征;

2)在 17 项汉密尔顿抑郁量表(HAMD-17)(Hamilton1960)上的得分等于或大于 14 分。评估在 ECT 治疗前 3 天和治疗后 7-10 天内进行;

3)无 MRI 禁忌症;

4)未使用抗抑郁药或其他精神科药物;

5)无既往病史或神经或精神疾病史。

所有健康对照(HC)均符合以下标准:

1)根据《DSM 障碍结构临床访谈》(SCID)从未被诊断为任何精神疾病;

2)一级亲属中无严重医学或神经精神疾病史;

3)无 MRI 禁忌症。

电休克治疗程序步骤如下:

1)双侧电刺激每周进行三次,共 4 周,所有重度抑郁症患者均接受了 12 次治疗。

2)每次电休克治疗中,通过静脉注射给予丙泊酚(1.0 mg/kg)作为麻醉剂,并给予溴化罗库溴铵(1.0 mg/kg)作为肌肉松弛剂。(麻醉诱导)

3)麻醉诱导后,通过静脉注射给予氯琥珀胆碱(4.05.0 mg/kg)作为肌肉松弛剂。

4)在每次治疗过程中,监测患者的血压、心率和血氧饱和度。

5)电刺激剂量采用半年龄法计算(从患者实际年龄的一半开始),刺激强度根据个体反应性设定为 1.5 倍或 2 倍。

结构像参数如下:

设备:3T MR 系统(Signa EXCITE 3TGE Healthcare, Waukesha, WI, USA)和 8 通道脑相控阵线圈获取 sMRI 数据

方法:采用稳态三维快速扰相梯度回波采集(3D-FSPGR)获取 T1 加权图像。

T1加权结构像采集参数:

TR10 ms

TE4.1 ms

翻转角:10

FOV24 cm

Voxel size0.9 × 0.9 × 1.2 mm

采集时间:对于重度抑郁症(MDD)患者,电休克(ECT)前 MRI扫描在首次 ECT 治疗前 3 天内获取,而 ECT  MRI 扫描在最后一次ECT 治疗后 710 天获取。

SBM分析步骤如下:

1. 使用SPM12GIFT工具箱提取网络,重点关注突显网络(SN)、中央执行网络(CEN)和默认模式网络(DMN)。这三个网络被视为驱动MD患者脑网络异常的核心系统,并以载荷系数的Z分数量化其表达强度。

2. 3D-FSPGR 图像经过空间标准化、分割为灰质、白质和脑脊液图像,并使用微分解剖学配准通过Exponential Lie AlgebrDARTEL)工具箱进行后续调制。

3. 使用半最大全宽为 8 毫米的高斯核对所得调制灰质图像进行平滑

4. 使用具有最小长度的 GIFT 工具箱(https://icatb.sourceforge.io/groupica.htm)基于所有调制灰质图像估计独立成分,用于健康对照者(HCs)和电休克治疗(ECT)前后的重度抑郁症(MDD)患者。(采用神经网络算法(Infomax)来计算独立成分分析(ICA),并使用基于 ICA 的自动去除伪影算法(ICASSO)(https://research.ics.aalto.fi/ica/icasso/)通过重复 ICA 20 次来确保可靠性)

5. 提取 16 个网络。源矩阵被转换回三维图像以进行结构网络可视化,缩放为单位标准差(图),并定义为 Z > 2.5

6. 一位放射科医生在十六个结构网络中视觉选择了默认模式网络(DMN)、背外侧前额叶皮层(SN)和中央执行网络(CEN)(图1

 图片

1. 研究探讨了三重网络的结构连接。该图基于 HCs  ECT 前后重度抑郁症患者所有调节的灰质图像,展示了三重网络结构协方差的空间时间特征。红色和黄色对应于体素体积呈正相关区域的颜色,对于每个网络,各网络的相关性空间分布被缩放到单位标准差(Z > 2.5)。

组间统计分析使用 IBM SPSS Statistics(版本 26.0SPSS Inc.,美国芝加哥)进行步骤如下:

1. 由于样本量有限,进行了Shapiro-Wilk 正态性检验,表明数据集未显示非正态性证据。

2. 为比较重度抑郁症(MDD)患者和健康对照者(HCs)的人口统计学和临床数据,进行了独立样本 t 检验和 
 检验。

3. 为计算三重内在网络的结构协方差差异。研究者使用了配对样本 t 检验(针对 MDD 组前后的比较)和单因素方差分析(ANOVA),随后进行 Bonferroni 校正方法进行多重比较(显著性阈值为 p < 0.05)。

4. 为研究跨组差异的 dSNC,研究者应用了偏最小二乘结构方程模型(PLS-SEM,使用 SmartPLS 软件)。

3 结果

3.1 人口统计学和临床特征

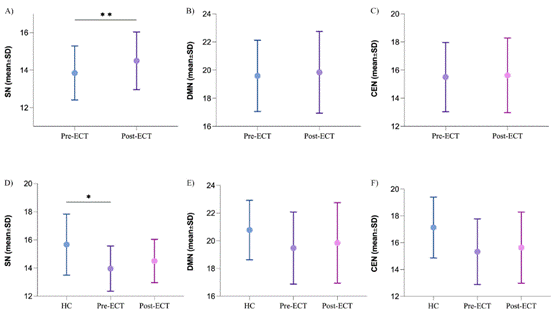
健康对照组和重度抑郁症患者的人口统计学和临床特征中,两组在年龄、性别、手用性、教育程度或吸烟状况方面无显著差异。只有 ECT 前后的 HAMD 总分存在显著差异(p < 0.001)。

3.2 SNC 组间差异

SNp = 0.012)和 CENp = 0.048)的结构连接性存在显著差异。

然而,在使用 Bonferroni事后检验校正多重比较的结果后, ECT  MDD 组在 SN 中的结构连接性显著低于 HCs 组(p = 0.010(图 2)。

ECT 前后 MDD 患者组三重网络的 SNC,仅 SN  ECT  MDD 患者组中显著升高(p = 0.002),与 ECT 前组相比(表 2,图 2)。

2. 各组间的结构网络连接差异

图片

图片

2. 结构网络连接差异

3.3 SNC直接关系的差异

PLS-SEM 分析在三元网络模型中的网络间连接性上进行了研究,表明 SN  CEN 在所有三个组之间存在显著差异。所有三个组都显示出 SN  CEN 之间存在显著的直接动态连接。

SN -> CENHCs1.029 [p < 0.001];治疗前,0.455 [p = 0.022];治疗后,0.719 [p = 0.001]

CEN -> SNHCs0.797 [p < 0.001];治疗前,0.568 [p = 0.022];治疗后,0.618 [p = 0.004])。

然而,HC 组和治疗后重度抑郁症组在 SN  DMN 之间存在显著的直接连接。

SN -> DMNHCs1.159 [p = 0.024];治疗后,0.604 [p = 0.034]

DMN -> SNHCs0.215 [p = 0.028];治疗后,0.372 [p = 0.034]

而治疗前重度抑郁症组仅显示出 CEN  DMN 之间的继发性病理性连接。

CEN -> DMN0.538 [p = 0.036]

DMN -> CEN0.411 [p = 0.036]

3.4 SNC间接关系的差异

进行了中介分析,以评估 CEN  DMN  SN  DMN  CEN 之间关系中的中介作用。

结果(表 3,图 3)显示:

仅在电休克治疗前 MDD 组中SN 通过 CEN  DMN 存在显著的间接效应(β = 0.363p = 0.008)。

然而,在不包含 CEN 的情况下,该组中 SN DMN 的总效应并不显著(β = 0.172p = 0.478)。

这表明 CEN  SN  DMN 之间的关系中具有完全的中介效应。

3. 三重网络模型中 SNC 直接和间接关系的组间差异

图片

图片

3. 三重网络之间的直接和间接动态关系

示意图展示了使用 PLS-SEM 分析的三重网络间网络连接的动态变化。所有三个组都显示出 SN  CEN 之间存在显著的直接动态变化。然而,HC 组和电休克治疗后 MDD 组表现出SN  DMN 之间显著的直接连接,而电休克治疗前 MDD 组仅显示出 CEN  DMN 之间的继发性病理性连接。此外,仅在电休克治疗前 MDD 组中,SN 通过 CEN  DMN 存在显著的间接效应。然而,在未包含 CEN 的情况下,该组中 SN  DMN 的总效应并不显著。这表明 CEN  SN  DMN 之间的关系中具有完全的中介效应。

4 讨论

研究基于三重网络模型,探讨了电休克疗法(ECT)对重度抑郁症(MDD)患者dSNC 的影响。

主要发现如下:

1ECT 能有效治疗 MDD 患者 SNDMN  CEN 之间的直接通信差异,并可能调节 SN  DMN 之间异常的间接通信模式。

2)发现电休克治疗前 MDD 组的结构 SN 连接水平显著低于健康对照组(p = 0.010),这突显了 SN 在促进 DMN  CEN 之间激活中的重要作用。

3)内在三重网络间的 dSNC 分析进一步表明,MDD 患者所有三个网络之间均表现出异常的直接通信模式,SN 通过 CEN  DMN 产生病理性间接效应。

4.1 局限性

1)尽管样本量对于 MDD 患者和 HCs 的配对对照分析是足够的,但患者队列仍然相对较小,这可能影响研究者结果的普适性。

2MDD 患者在接受治疗前和治疗后被扫描,而 HCs 仅在基线时扫描一次。尽管研究者认为 HCs 在时间上的变化可能性较低,但研究者不能排除某些变化(包括正常神经发育)可能发生的可能性。因此,未来需要设计健康对照组进行两次扫描的研究。

3)尽管研究者发现一次 ECT 治疗对 MDD 患者是有效的,但研究者不能得出这些变化会持续较长时间的结论。需要未来的纵向研究,涉及多次 ECT 治疗,以解决这一问题。

4)研究未包含静息态 fMRI 扫描;因此,研究者无法评估结构网络和功能网络之间的潜在关系。

5)使用了一种新型的 PLS-SEM 分析,这在神经精神病学界尚未得到一致应用。

5 结论

总之,研究结果提供了初步证据,表明电休克疗法(ECT)是一种有效且微创的治疗方法,能够解决重度抑郁症(MDD)患者小脑(SN)的结构性变化,以及三个核心大脑网络之间直接通信异常,并可能通过间接连接的潜在有益校正。

参考文献

Chibaatar E, Watanabe K, Quinn PM, Okamoto N, Shinkai T, Natsuyama T, Hayasaki G, Ikenouchi A, Kakeda S, Yoshimura R. Triple network connectivity changes in patients with major depressive disorder versus healthy controls via structural network imaging after electroconvulsive therapy treatment. J Affect Disord. 2023 Nov 1;340:923-929. doi: 10.1016/j.jad.2023.08.020. Epub 2023 Aug 19. PMID: 37598718.

解读:张致瑞

审核:褚凡

上一篇:Science Advances:皮质醇作用下支持显著记忆的动态大脑机制
下一篇:Nat. Neurosci.:利用7TfMRI绘制人类稳态-内感受系统的“皮质-皮质下全脑连接图谱”