close
预约产品演示
请完善以下信息,我们将联系您进行演示
*
*
我已阅读并同意《隐私政策》
close
预约数据分析
请完善以下信息,我们将联系您进行沟通
*
*
我已阅读并同意《隐私政策》

往期精彩|Medical Image Analysis:使用弥散磁共振成像纤维追踪和图神经网络进行细粒度的纹状体分区

发布:2026-01-08    浏览:11 次

简要总结

该研究提出了一种基于弥散磁共振成像(dMRI)纤维追踪和图神经网络(GNNs)的深度学习方法,用于纹状体的精细分割。研究的核心目标是通过结合先进的神经影像技术和机器学习算法,实现对纹状体的个性化和精确分割,从而为理解纹状体在认知和行为中的作用以及其在神经和精神疾病中的变化提供新的工具和见解。介绍了一种创新的两阶段深度学习方法,用于基于弥散磁共振成像(dMRI)纤维追踪和图神经网络(GNNs)的纹状体精细分割。该方法结合了传统聚类算法和深度学习技术的优势,通过预训练和微调策略优化纹状体的分割效果。研究使用了人类连接组计划(HCP)的高质量多模态神经影像数据,通过详细的连接性矩阵构建和个体化图构建,实现了对纹状体的精确分割。该方法不仅在多个关键评估指标上表现出色,还通过功能连接性分析验证了其生物学意义,并在可重复性和对称性方面表现出色。此外,该方法在不同聚类数量下均保持了高性能,显示出其在处理复杂脑区结构方面的稳定性和适应性。这些结果为未来神经科学研究和临床应用提供了新的视角和标准,尤其是在帕金森病、亨廷顿病和精神分裂症等神经性疾病的诊断和治疗中。

摘要:

纹状体是基底神经节的关键组成部分,通过与皮层的相互作用在多种大脑功能中发挥着重要作用。纹状体内部各亚区之间复杂的结构和功能多样性,突显了对纹状体进行精确分割的必要性。在本研究中,研究介绍了一种新的深度聚类流程,利用弥散磁共振成像(dMRI)纤维追踪技术实现纹状体的自动化、精细化分区。

首先,研究采用基于体素的概率纤维追踪算法,并结合纤维束嵌入技术来捕捉复杂的dMRI连接模式。为了保持关键的体素间关系,研究使用图神经网络(GNNs)来创建纹状体的精确图表示。这包括将概率纤维束特征编码为节点属性,并通过激活函数优化边权重,以增强图的可解释性和准确性。该方法在预训练阶段采用了基于Transformer的图卷积自编码器,以提取关键的空间特征并最小化重建损失。在微调阶段,一种新颖的联合损失机制显著提高了分割精度和解剖保真度。将传统聚类技术与多头自注意力机制相结合,进一步提升了分割方法的准确性和鲁棒性。

这一方法为理解纹状体在认知和行为中的作用提供了新的见解,并为神经性疾病的潜在临床应用提供了可能。

关键词:弥散磁共振成像(dMRI)连接性,概率纤维追踪,图神经网络,个体化分区/个体化分割,深度聚类

引言

大脑作为人体最复杂的器官,一直是科学研究的核心主题,尤其是在探索其生理功能和病理机制方面。在过去的一个世纪中,研究人员不懈努力地揭示大脑的结构和功能,这反映了人类对人类认知本质的深刻好奇。在这个复杂的器官中,纹状体因其多方面的功能以及在多种神经精神疾病中的重要性而备受关注。

纹状体是基底神经节的关键组成部分,与皮层紧密协作以调节多种功能,表现出显著的结构异质性。目前,人们普遍认为纹状体包含三个主要的解剖学成分:尾状核(caudate nucleus,CD),它对运动控制和认知学习过程至关重要;豆状核(putamen,PU),它调节运动并在感觉和运动模态中促进学习;以及伏隔核(nucleus accum-bens,NAcc),它调节奖赏和动机机制。然而,鉴于纹状体从大脑皮层的多样化投射,仅靠粗略的结构和功能划分已无法有效反映这种多样性。此外,纹状体的结构和功能与多种神经和精神疾病密切相关,包括与多巴胺相关的疾病,如帕金森病和精神分裂症。因此,纹状体的精细化分区和详细研究至关重要。这不仅加深了人们对其在行为和认知中作用的理解,而且对于推进其在临床人群中的变异研究也极为重要,这是认知神经科学和临床神经学的核心关注点。

在探索大脑复杂网络的过程中,神经连接是信息传递的主要通道,构成了其复杂结构和功能的基础。随着技术的进步,现代成像技术,尤其是磁共振成像(MRI),在绘制这些复杂网络结构和功能方面发挥了关键作用,为深入了解大脑的工作机制提供了前所未有的机会。MRI技术的多面性为大脑研究提供了全面的视角。结构MRI与功能MRI(fMRI)和弥散MRI(dMRI)相结合,能够全面评估大脑在不同时间和空间维度上的活动。特别是dMRI,对白质的结构完整性非常敏感,能够提供大脑结构连接的重要信息。从dMRI提取的解剖学特征已被证明是纹状体个体变异的重要指标。此外,dMRI纤维追踪技术是一种广泛用于重建人类连接组的技术,能够非侵入性地绘制人脑内的解剖连接。这些技术共同为深入研究纹状体的结构和功能提供了机会。

从MRI提取的连接信息衍生出的大脑分割技术已成为揭示复杂神经解剖学数据的关键。这些技术能够高效识别和分类大脑内的不同结构和功能区域。为了更好地基于连接性实现大脑区域的细分,已经开发出许多方法,包括基于连接性定位(CBL)的技术、各种聚类技术以及利用深度学习的方法。

尽管最近的方法为大脑区域的精细化分割提供了新的途径,但将其应用于纹状体的详细分割仍面临独特挑战。尽管fMRI研究在纹状体分割方面取得了显著进展,但基于dMRI的结构连接性分析仍需进一步增强。当前纤维追踪技术的一个普遍问题是,与功能连接性不同,它过度关注短距离连接,这会不成比例地影响观察到的解剖连接频率。这种偏差可能导致在直接使用以短距离解剖连接为主的原始纤维追踪时,分割结果具有高度个体差异且难以解释。此外,许多现有的分割方法依赖于通用模板(如AAL或人类脑网络组)来划分个体的纹状体。这种方法可能会忽视由遗传和环境因素引起的个体间关键差异,包括纹状体的面积、位置、空间排列和连接模式的差异。这些忽视可能会严重影响纹状体分割结果的准确性和临床相关性。此外,大多数现有的纹状体划分策略主要依赖于单个顶点的连接性特征作为参考,忽略了连接性配置的更广泛上下文关系。此外,传统的聚类技术是一种定义大脑区域的常用方法,它根据内部相似性和簇之间的差异性将体素/顶点分组为簇。然而,像K均值这样的算法容易受到噪声的干扰,最近的研究表明,噪声和原始高维空间的稀疏性可能导致空间上不连续的聚类区域。这些问题可能会严重削弱结果分割的生物学合理性和临床实用性。尽管深度学习技术在处理噪声和缓解由噪声和稀疏性引起的聚类不连续性方面表现出色,但将其有效应用于基于连接性的纹状体分割仍然是一个关键挑战。这一挑战不仅涉及算法的选择和优化,还涉及深度学习模型对大脑连接性数据细微差别的适应。解决这些挑战对于推进我们对纹状体结构和功能的理解以及开发更准确和临床相关的分割方法至关重要。

为了应对这些挑战,研究提出了一种创新的方法,结合了神经影像学和机器学习领域的先进技术。研究方法采用基于体素的概率纤维追踪算法,为每个纹状体体素一致地获取dMRI连接性特征。研究实施了一种纤维束嵌入技术,将全脑纤维追踪转换到专门的纤维束空间中,生成反映每个个体纤维追踪图中主要纤维束概率分布的连接性指纹。这一方法既保留了个体化的解剖特征,又在纹状体体素特征中保持了高维度。为了克服这种高维度带来的挑战,例如空间上不连续的聚类和对噪声的敏感性,研究使用卷积神经网络构建自编码器架构,以实现有效的降维和聚类。与简化样本信息的传统方法不同,研究的方法使用图神经网络(GNNs),为个体纹状体构建详细的图数据,将概率纤维束特征作为节点属性,并基于激活函数的概念优化边权重。这使得关键的体素间关系得以保持。

在此基础上,为了增强模型的特征学习能力并实现更优的聚类结果,研究实施了一种结合预训练和微调的学习策略。在预训练阶段,网络使用Transformer GraphConv自编码器,专注于重建损失,提取潜在的空间特征。在随后的微调阶段,引入了一种联合损失机制,包括自编码器重建损失、平均距离损失、深度嵌入聚类(DEC)损失和距离边界损失,以精细调整聚类结果。

研究主要贡献包括:(1)开发了一种开创性的方法,用于为个体纹状体构建图数据。这种方法提高了图结构的精度和可解释性,增强了神经网络处理复杂关系数据的能力;(2)成功将dMRI连接性特征应用于纹状体分割;(3)将传统聚类算法与多头自注意力机制相结合,提高了准确性和鲁棒性。通过全面评估,研究的方法表现出色,既满足了统计学意义,又达到了解剖学保真度的标准。这项研究不仅推进了纹状体分割技术的发展,还为理解纹状体在认知和行为中的作用提供了新的见解,为未来的神经科学研究以及与纹状体相关的神经和精神疾病的临床应用铺平了道路。

本文涉及到的部分算法,在脑海科技多模态脑影像分析云平台可一键分析。平台内置一键式分析700+算法(包括fMRI、T1、DTI、MRS、QSM、机器学习等),用户无需学习代码,几天就可以掌握脑影像数据分析,欢迎添加微信号19906719439(樊老师)咨询产品相关

图片

方法

所提出方法的目标是通过利用dMRI概率纤维追踪技术实现纹状体的个性化和精确分割,具体流程如图1所示。首先,研究使用FreeSurfer软件包以高精度提取纹状体。随后,通过一个三步纤维束嵌入过程为每个纹状体体素计算连接性指标,该过程能够有效捕捉大脑的复杂微观结构特征。在此基础上,研究构建了一种优化的深度学习图结构,利用概率纤维束特征和优化的边权重来保留关键的体素间关系。最后,研究采用一种两阶段聚类方法,将传统算法与深度学习技术相结合,以稳健且精确地分割纹状体。

图片

图1研究流程框架图

2.1 数据集与预处理

本研究使用了人类连接组计划青年成人(HCP)的数据。选取了100名无关个体(年龄在22至35岁之间,52名女性和48名男性)。选择HCP数据集是由于其高质量的多模态神经影像数据和严格的质量控制流程,为研究提供了可靠的依据。该数据集包括T1加权(T1w)成像和dMRI数据。dMRI数据具有1.25mm的各向同性分辨率,使用四个不同的b值(0、1000、2000、3000s/mm²)进行采集,每个b=1000、2000、3000壳层有90个扩散方向,以及18个b=0的图像。这种高角分辨率弥散成像协议能够更好地解析复杂的纤维结构,为后续的纹状体分割提供了高质量的原始数据。

研究使用HCPYA数据库提供的预处理影像数据。简而言之,这些数据根据HCP的最小预处理流程进行了预处理。dMRI数据经过运动伪影、涡流和EPI引起的失真校正后,进一步通过多模态配准以确保解剖学一致性。研究的分析依赖于通过HCPPipelines(v3.27.0)处理的标准化数据集。

为了确保结果的可靠性和可推广性,研究采用分层随机抽样的方法将数据集划分为训练集(80人)和测试集(20人),保持性别比例的一致性以避免偏差。这种策略有助于稳健的训练和独立的测试。研究应用了FreeSurfer软件的预处理协议(Fischl,2012),从T1加权(T1w)数据中提取左右纹状体的感兴趣区域(ROIs)。具体来说,尾状核和豆状核是根据FreeSurfer ColorLUT进行标记的。为了在计算效率和空间精度之间取得平衡,ROI掩模被下采样到3mm的各向同性分辨率。这一分辨率选择基于以往研究的经验在保持足够的空间细节的同时,有效地降低了后续处理的计算复杂性。

2.2 连接性矩阵构建

通过一个三步流程为每个顶点(纹状体体素)计算连接性指标。

2.2.1 概率纤维追踪

图片

2.2.2 全脑纤维分类

图片

2.2.3 连接性指纹生成

图片

2.3 个体图的构建

图片
图片

2.4 深度学习模型框架

研究介绍了一种两阶段聚类方法,该方法结合了传统聚类算法和深度学习技术的优势。图2(a)展示了这种方法的整体架构。该方法采用双阶段学习策略,包括预训练和微调,旨在优化纹状体的分割。这种两阶段方法的设计不仅增强了模型对复杂数据结构的理解能力,还通过全面优化损失函数,促进了纹状体亚区的精确分割。

2.4.1 预训练阶段

在预训练阶段,研究使用多头Transformer GraphConv,如图2(b)所示,构建一个自编码器,用于捕捉纹状体体素的潜在空间特征。自编码器通过重建损失进行预训练,确保模型能够有效地在低维空间中表示输入数据。图神经网络的灵活性使其能够适应由于个体差异导致的纹状体体素数量的变化。

图片
图片
图片


图片

图2深度学习模型框架

点击下方链接了解平台更多算法:

(1)基于Fixel分析太难?脑海科技多模态脑影像云平台一键解锁白质纤维束全分析流程!

(2)你的大脑竟在“秘密切换状态”?隐马尔可夫模型带你看见动态的大脑!——脑海科技多模态脑影像云平台,一键完成脑动态研究
(3)临床科研双加速|无需代码实现白质功能协变网络分析,一键产出SCI级结果
(4)高阶功能连接分析:脑海科技多模态脑影像云平台助力临床医生探索大脑高阶特性
(5)GSCORR:从“噪声”到“脑疾病解码器”——脑海科技多模态脑影像云平台,一键解锁大脑功能分析
(6)告别繁琐流程!基于源的形态学分析(SBM)进入一键式智能时代
(7)告别繁琐流程!脑海科技分析平台助您一键产出SCI级形态学网络结果
(8)一键生成个体形态脑网络!拓扑指标全自动分析!
(9)CaSCN分析揭示大脑结构变化的“多米诺骨牌效应”!脑海科技多模态脑影像云平台一键解析脑区间的因果传导链,让顶刊发现触手可及!
(10)DTI-ALPS:一键揭秘脑类淋巴系统,助力神经疾病精准诊疗
(11)GCA解码大脑因果网络:脑海科技多模态脑影像云平台一键式产出SCI级结果
(12)大脑里居然有“聊天记录”!动态因果模型曝光脑区间的秘密对话!——脑海科技多模态脑影像云平台,一键完成“对话”解析
(13)MRI中的“髓鞘探测器”:T1w/T2w比值揭秘
(14)大脑暗藏"帧间表情包"!FOCA破译局部神经的时空协作密码—脑海科技多模态脑影像云平台,一键生成3D像素剧场的“双优成绩单”

(15)捕获大脑的“高光时刻”!高振幅共波动分析揭秘全脑协同爆发瞬间:脑海科技脑影像云平台,秒级定位“关键帧”

2.4.2 微调战略

在第二阶段的微调中,研究首先对自编码器输出的特征应用K-means算法进行初步聚类。随后,引入一种联合损失机制,根据聚类结果对自编码器参数进行微调,以优化聚类性能。该联合损失机制包括四个损失函数:自编码器重建损失、平均距离损失、深度嵌入聚类(DEC)损失和距离边界损失。这些损失函数旨在提高聚类的准确性和鲁棒性,同时保持模型对纹状体结构和功能特征的敏感性。以下是每个损失函数及其在微调过程中的作用的详细说明。

自编码器重建损失这一损失函数与预训练阶段一致。尽管在预训练中已经使用了重建损失,但在微调阶段仍继续使用该损失函数,以优化和稳定数据表示,从而增强聚类的基础质量。平均距离损失:平均距离损失用于衡量体素与其聚类中心之间的平均距离,促进聚类的紧凑性和一致性。深度嵌入聚类(DEC)损失:DEC损失通过最小化软聚类分配Q与目标分布P之间的Kullback–Leibler(KL)散度,降低聚类内的方差并形成清晰的聚类边界。距离边界损失:距离边界损失确保聚类中心之间的清晰分离,防止聚类重叠。综合损失函数:自编码器微调的总体损失函数是个别损失函数的加权和。微调阶段优化了聚类结果,增强了聚类的紧凑性、清晰性和分离性,从而实现了更精确的纹状体分割。这种方法保留了高维信息,并通过多样化的损失函数设计提高了整体聚类性能和可解释性。

2.4.3 实施

在预训练阶段,网络使用Adam优化器对包含80名个体的数据集进行训练,训练周期为2000次。初始学习率设置为0.01,并且每700个周期学习率降低到其当前值的0.1倍。在微调阶段,模型首先使用预训练的参数进行初始化,利用编码器提取隐藏层特征,并采用K-means算法进行初始聚类。随后,通过联合损失函数的反向传播更新编码器参数,并且每50个周期更新一次K-means聚类中心。这种迭代优化策略逐步提升模型性能,使其适应纹状体的复杂结构特征。在此阶段,网络在训练集上以固定学习率0.0001训练1000个周期,并最终保存模型参数和聚类中心。在测试过程中,使用保存的模型参数和K-means聚类中心进行初始化。

2.5 评估指标

为了全面评估我们聚类方法在纹状体分割中的性能,研究采用了多种关键评估指标,包括轮廓系数(Silhouette Coefficient,SC)、Calinski–Harabasz指数(CH)、特征同质性(FH)和加权Dice系数。轮廓系数通过比较单个体素与其所在聚类内其他体素的相似度,以及与最近聚类内体素的相似度,来评估聚类质量。Calinski–Harabasz指数,也称为方差比率准则,衡量的是聚类间离散度与聚类内离散度的比率特征同质性评估聚类内特征模式的一致性。加权Dice系数用于衡量不同个体间分割区域的重叠准确性,反映分割结果的可重复性。选择这些评估指标是基于它们在聚类和分割任务中的广泛应用和认可。这些指标综合考虑了聚类的内部一致性、聚类间的分离度、解剖特征的一致性以及分割结果的可重复性。通过综合分析这些指标,可以全面评估所提方法的性能,从统计学角度验证聚类效果,并从神经科学角度评估分割结果的生物学意义。

3 结果

3.1 概述和性能指标

研究介绍了一种创新的两阶段纹状体分割方法,该方法结合了传统聚类算法和深度学习技术的优势。该方法采用结合预训练和微调的学习策略,旨在优化纹状体分割。这种双阶段设计不仅增强了模型理解复杂数据结构的能力,还通过优化的损失函数组合实现了纹状体亚区的精确分割。最初,研究设计了一个Transformer GraphConv自编码器,仅使用重建损失进行预训练,以提取纹状体体素的潜在空间特征。随后的微调阶段引入了一种联合损失机制,包括自编码器(AE)重建损失、平均距离损失、DEC损失和距离边界损失,旨在精细调整聚类结果。

为了全面评估这种方法的性能,采用了多种对照策略

1.研究的方法(预训练+微调):这种方法利用Transformer GraphConv自编码器,通过预训练和微调来优化特征提取。然后使用K-means和层次聚类方法进行聚类。

2.预训练+K-means聚类:从预训练的自编码器模型中提取特征,并使用K-means进行聚类,不进行额外的微调。

3.微调+层次聚类:在这种策略中,对微调模型获得的特征应用层次聚类。

4.预训练+层次聚类:对从预训练(但未微调)模型中提取的特征进行层次聚类。

5.原始特征+K-means聚类和原始特征+层次聚类:这些方法分别直接对原始特征应用K-means和层次聚类,不进行任何特征转换。

6.基准:该方法采用深度嵌入聚类(DEC)框架。这种方法结合了用于潜在表示学习的堆叠自编码器(SAE),并通过基于学生t分布的软分配机制进行聚类细化。聚类使用K-means聚类中心初始化,并使用基于Jensen–Shannon(JS)散度的损失函数进行优化。

所有深度学习方法均使用80名受试者作为训练集,20名受试者作为测试集,以确保评估的公平性和可靠性。图3显示了不同方法在关键评估指标上的性能。轮廓系数(SC)和Calinski–Harabasz(CH)指数对于量化和验证聚类性能至关重要。SC衡量聚类分配的置信度,表明研究方法在显著区分不同类别的同时,保持了高类内紧凑性。图3(a)显示了不同聚类数量下左右纹状体的SC值。结果表明,深度学习方法比直接应用于原始特征的传统聚类方法(如K-means和层次聚类)具有明显优势。层次聚类中不同特征的SC值变化突显了两阶段学习策略的有效性。此外,与Li等人使用的多层感知器(MLP)自编码器架构相比,Transformer
GraphConv自编码器在整合局部特征方面表现出色,从而实现了更精确的聚类和分割结果。

图片

图3不同方法在关键评估指标上的性能

Calinski–Harabasz(CH)指数通过衡量聚类间方差与聚类内方差的比率,提供了聚类质量的定量衡量。较高的CH值不仅表明聚类之间存在显著差异和适当的分离,还反映了不同聚类解决方案之间的一致性和稳定性。如图3(b)所示,对于大脑两个半球的纹状体,尽管随着聚类数量的增加,CH值逐渐下降,但研究的方法获得的CH值在所有聚类数量下均高于其他比较方法。这一发现证明了研究聚类算法的稳健性,即使在聚类数量增加的情况下,也能保持高水平的聚类质量——这是纹状体分割领域的一个挑战性成就。

为了评估特征同质性(FH),研究计算了每个体素块内原始特征之间的皮尔逊相关系数,并根据每个体素块的大小进行加权平均,以确定每个受试者大脑半球的特征同质性,结果如图3(c)所示。研究表明,所有方法的特征同质性指数随着分割数量的增加而趋于增加。这一基于原始概率纤维追踪数据的指标表明,更详细的分割可能有助于识别具有高特征同质性的区域,这可能具有特殊的临床意义。在比较两个半球不同体素块数量的纹状体分割时,研究的方法始终表现出最佳性能。

SC、CH和FH的高值不仅突显了研究的方法的技术优势,还强调了其在实际应用中的巨大潜力。这些指标确保了研究生成的分割结果在统计上稳定且在解剖学上有意义。这一卓越表现表明,研究方法在临床神经影像学领域具有重大前景,精确可靠的分割技术可以显著改善诊断和治疗结果。

3.2 可重复性

为了评估研究所使用方法的可重复性,研究使用FreeSurfer软件对个体化的纹状体感兴趣区域(ROIs)进行了分割。考虑到不同受试者之间纹状体的形态差异以及同一受试者两个半球之间的差异,研究利用了在医学图像配准领域以稳健性著称的ANTs,以确保不同受试者和半球之间分割结果的一致性和可比性。在数据分析阶段,研究计算了测试集中所有受试者之间的成对比较的平均Dice系数。与以往研究一致,研究为每个分割区域计算了Dice系数,并根据区域体积进行了加权平均。随后,以整体配准后的Dice系数(平均值为0.75)为基准标准化纹状体的形态差异

为了进一步在个体间水平评估可重复性,研究实施了“留一法”可重复性评估(Leave-One-Out Reproducibility Assessment,LOORA)。在这种评估中,每个受试者依次从队列中排除,并计算被排除受试者的分割结果与剩余受试者的平均分割之间的Dice相似性系数。这种方法为跨受试者的可重复性提供了一个稳健的衡量标准,证实了研究分割方法在个体间能够持续保持准确性。如图4所示,随着聚类数量从三个增加到七个,左右纹状体的平均Dice相似性系数逐渐下降,这表明更细粒度的聚类可能会降低个体间的可重复性。在聚类数量较少时的高Dice分数突显了研究分割方法在队列内的稳健性。此外,研究通过条形图(图5)可视化了LOORA的结果,其中每个条形代表单个受试者的分割与剩余受试者的平均分割之间的加权Dice相似性系数。该图表能够评估分割过程中的个体一致性。尽管不同聚类水平下的平均LOORA Dice分数反映了整个队列的总体可重复性,但个体LOORA分数之间的变异性突显了个体在分割可重复性上的特定差异。

图片

图4不同聚类水平上计算出的左右纹状体分裂的平均Dice相似系数图

图片

图5不同聚类水平上计算出的左右纹状体分裂的平均Dice相似系数可视化图

图6详细展示了在不同聚类设置下不同受试者左右纹状体半球之间的Dice系数,反映了个体聚类分割的相似性和一致性。随着聚类数量从三个增加到五个,个体间的Dice系数相对稳定,这表明研究的方法具有高可重复性,并且能够有效捕捉纹状体的内在解剖结构,确保个体间的高相似性。然而,当聚类数量增加到六个和七个时,Dice系数显著下降,这表明在增强聚类粒度和维持跨个体相似性之间需要权衡。

图片

图6不同聚类设置下不同受试者左右纹状体半球之间的Dice系数

此外,研究还评估了每个受试者左右半球纹状体聚类分割的对称性。配准前,对右侧纹状体沿x轴进行了镜像翻转,以与左侧纹状体相对应。配准后,左右半球的加权Dice系数以相同的方式计算。在帕金森病和精神分裂症等神经和精神疾病中,纹状体的结构和功能常常受到影响。因此,分析纹状体的对称性有助于识别这些疾病的早期生物学标志物,这对于早期诊断和制定针对性治疗计划至关重要。如图6所示,研究的聚类分割方法在HCP的健康受试者数据集上,在三到五个聚类范围内也展现了高分割对称性。

为了探索个体间变异性,研究还引入了一个Dice热图,该热图在五聚类分割结果下可视化了所有受试者之间的相似性指标,提供了个体间变异性的详细概览。该热图如图7所示,突出了整个队列中纹状体分割的一致性,展示了高相似性区域以及更具变异性的区域。通过分析这些指标,研究可以辨别出分割的一致性程度以及潜在的个体差异,突显了研究的方法在捕捉解剖结构的同时反映个体变异性的稳健性。

图片

图7五个聚类分割结果的受试者之间的成对加权Dice相似系数热图

3.3消融研究

为了探索不同的体素上下文整合方法在纹状体分割过程中对聚类性能的影响,研究开展了一项消融研究,比较了图构建技术和GNN架构的组合。这种方法能够检验结构设计和网络架构的不同组合是如何共同影响分割准确性和稳定性的。

图构建方法与多头Transformer GraphConv的组合:研究测试了不同的图构建方法,并结合多头Transformer GraphConv使用统一的方法来评估它们对分割结果的联合影响。

(1)距离映射与多头Transformer GraphConv(DM-TransConv):这种方法基于空间邻近性连接节点(体素),在相距三个单位以内的体素之间建立边,所有边的权重相等。这种方法强调物理邻近性,但可能会忽略功能连接。

(2)皮尔逊映射与多头Transformer GraphConv(PM-TransConv):图中的每个体素都与其他所有体素相连,边的权重基于它们特征之间的皮尔逊相关系数。这种方法关注功能相似性而非空间邻近性,旨在捕捉在空间上相距较远但在功能上相似的体素之间的重要相互作用。

使用所提出的图构建方法评估GNN架构:研究使用研究提出的图构建方法评估了每种GNN架构。研究在自编码器中应用了各种图卷积方法,以评估它们各自对编码和重建纹状体特征的影响,从而能够专注于评估每种架构在纹状体分割中的性能。

(1)带个体图的残差门控图卷积(RGGC-IG):这种架构在前向传播过程中不学习边特征参数,而是通过门控机制调节信息流,增强模型的稳定性。然而,这种方法可能会忽略边属性之间的微妙相互作用。

(2)带个体图的切比雪夫多项式图卷积(ChebConv-IG):使用切比雪夫多项式近似图拉普拉斯矩阵的谱分解,这种架构能够捕捉图中的更广泛上下文。然而,它可能不如更复杂的模型(如Transformer GraphConv)在动态调整特征重要性方面有效。

(3)带个体图的图卷积网络卷积(GCN-IG):这种架构利用图的度矩阵和邻接矩阵进行前向传播,这通常会导致特征平滑,削弱局部模式的表达。这与TransformerGraphConv维护和利用局部特征差异的能力形成了鲜明对比。

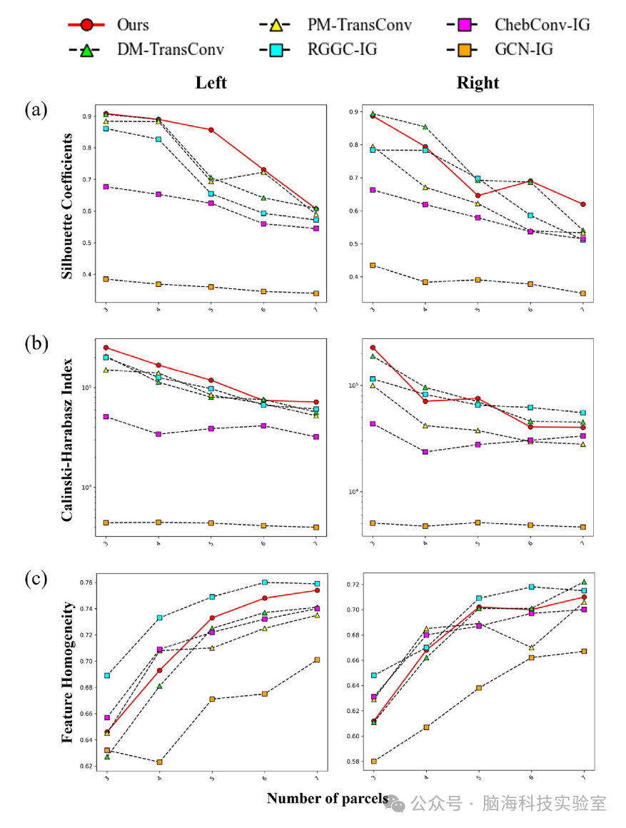
研究使用轮廓系数(SC)、Calinski–Harabasz(CH)和特征同质性(FH)等指标定量评估了上述方法的有效性,相关结果详细展示在图8中。这些结果揭示了图构建技术和GNN架构的选择是如何影响聚类结果的细微差异的,强调了在优化纹状体分割中结构设计和神经网络选择的重要性。根据图8中的结果,该研究所提出的方法在左纹状体的各种分割数量下始终显示出更高的SC和CH值。对于右纹状体,在四种分割数量下,基于距离图的配置在SC和CH方面表现出色,而ResGatedGraphConv架构在四段设置中的SC和六到七段的CH中特别引人注目。在FH方面,尽管没有一种方法在所有分割数量下都能持续保持最佳性能,但ResGatedGraphConv在大多数分割场景中表现最佳。与其他消融方法相比,研究所使用的方法总体上表现出优越的性能,尤其是在左纹状体的三段和四段以及右纹状体的三段中,与表现最佳的设置相比,性能差距不到2%。消融实验揭示了这两种架构在分割性能上的独特优势。TransformerConv由于其多头注意力机制,在最终表示空间中学习可区分特征的能力很强。这种能力得到了更高的轮廓系数(SC)和Calinski–Harabasz指数(CH)的支持,表明TransformerConv通过关注相关的邻域节点并减少来自信息量较少的连接的噪声,有效地区分了复杂的解剖边界和异质纹理。相反,ResGatedGraphConv架构在保持特征一致性方面表现出色,这体现在其优越的特征同质性(FH)得分上。其强调保持原始特征完整性,能够更准确地捕捉局部解剖细节。这些结果不仅验证了研究方法的有效性,还为未来的方法改进提供了宝贵的见解。具体来说,这些发现强调了为纹状体分割任务选择适当的图构建技术和GNN架构的重要性,这可能因具体的分割目标和数据特征而异。

图片

图8不同图构造技术和GNN架构的性能比较图

3.4 最优聚类方案的详细分析

图9展示了不同聚类数量下的纹状体分割结果。在三个聚类时,分割主要沿着头尾轴进行,清晰地区分了纹状体的前部和后部。随着聚类数量增加到四个,分割策略进一步引入了对尾部纹状体内的背侧和腹侧的区分。后续更细致的分割始终定义了这些区域,显示出对豆状核背侧和腹侧区域分离的稳健性。此外,尾状核的头端部分部分被分割到与背尾豆状核相同的区域。在五个聚类时,分割方法进一步区分了腹侧豆状核和腹内侧豆状核,相应的划分延伸到尾状核。在更高层次的分割(n=6到7)中,不仅保留了之前的划分,还对背尾豆状核和头腹豆状核/尾状核之间进行了更细致的区分。

图片

图9不同聚类数量下的纹状体分割结果图

在选择最优聚类数量时,研究的目标是基于dMRI模态实现更细致的纹状体分割,因此排除了只有两个聚类的配置。如图10所示,当聚类数量为三个时,轮廓系数、Calinski–Harabasz指数、组内可重复性和双侧对称性等指标表现最佳。此外,对来自两个半球的数据进行综合分析表明,这些指标在聚类数量从三个增加到五个时相对稳定。然而,当聚类数量增加到六个和七个时,除了特征同质性指数随着分割数量的增加略有提高外,几乎所有指标都有显著下降。根据这些指标,研究确定五个聚类代表了最优的分割数量,三个聚类作为次优选择。这一结果在分割的粒度和整体性能之间取得了平衡,为纹状体的精确划分提供了宝贵的见解和视角。值得注意的是,这种分割方案与以往的解剖学和功能学研究一致,例如之前的研究提出的基底神经节-皮层回路模型、之前描述的纹状体功能梯度,以及使用静息态fMRI探索的纹状体内在功能组织等。这种一致性不仅证实了研究分割的解剖学和功能相关性,还强调了其在神经科学研究和临床应用中的潜在效用。

图片

图10不同集群数量下评价指标的变化图

3.5 连接性分析及与公共图谱的比较

为了更深入地了解研究的最优聚类方案的功能特征,本节包括结构连接性分析以及与公共图谱的比较研究。最初,利用TractSeg工具,研究将全脑纤维束精心分类为72种类型,并识别出在最优聚类配置下与每个分割区域具有最强结构连接性的前10条纤维束。这一分析揭示了纹状体不同亚区之间的结构连接性模式,为揭示纹状体内的功能组织提供了重要线索。从图11可以清楚地看出,纹状体的不同亚区显示出与特定纤维束的明确连接性偏好。为了进一步说明结构连接性模式,研究增加了额外的可视化(图12),描绘了分割亚区及其连接强度最高的相应纤维。每个亚区都有独特的颜色编码,蓝色线条代表最强的纤维连接。以下研究讨论了这些连接如何帮助定义连接的纹状体亚区的潜在功能:

聚类1(绿色):绿色聚类始终表现出与感觉运动和视觉空间处理相关的连接性。其与左侧后中央段上丘脑辐射(ST_POSTC_left)和左侧上丘脑辐射(STR_left)的强连接表明其在感觉-运动功能中的整合作用。左侧皮质脊髓束(CST_left)的参与进一步强调了其在自主运动执行中的功能,表明这一聚类作为主要的感觉运动处理中心,对于协调感觉输入与运动指令至关重要。

聚类2(橙色):橙色聚类在视觉处理和情绪调节方面的关联保持稳定。其与左侧枕段上丘脑辐射(ST_OCC_left)和左侧扣带束(CA)的连接指向整合视觉和情绪信息的作用。这一聚类可能促进将视觉感知与情绪背景相结合的行为,支持复杂的视觉-情绪处理。

聚类3(黄色):以高级认知处理为特征,这一黄色聚类与左侧上额枕束(ST_FO_left)和左侧钩束(UF_left)等结构保持稳定连接,强调其在注意力调节、执行功能、记忆整合和情绪处理中的作用。这一聚类似乎专门从事需要认知控制、记忆和社会认知的任务,为复杂认知功能奠定基础。

聚类4(红色):在五聚类模型中,红色聚类分离出与高级认知功能相关的连接。与左侧上额枕束(ST_FO_left)、左侧前额段上丘脑辐射(ST_PREF_left)、左侧前颞辐射(ATR_left)和左侧前中央段上丘脑辐射(T_PREF_left)的连接突显了其专注于执行计划和决策制定,将其专业化从低级运动任务转向认知控制和执行功能。

聚类5(蓝色):蓝色聚类新近专门从事运动计划和协调,突出了与左侧前运动段上丘脑辐射(ST_PREM_left)和左侧前中央段上丘脑辐射(ST_PREC_left)的连接,这些连接之前属于红色聚类。这种连接性描绘了一个专注于预备和主要运动功能的运动领域,与红色聚类中观察到的认知控制明显分开。

图片

图11 纹状体各区域与主纤维束之间的连接强度

图片

图12 最高连接强度的分段子区域及其相应光纤的可视化

左纹状体和右纹状体的结果表现出强烈的对称性,对应聚类之间的连接模式几乎完全相同。

为了进一步确认研究方法的准确性和可重复性,研究与既定方法进行了详细的比较分析,特别是将之前提出的多模态分割方法作为基准。方法利用整合纤维追踪、静息态fMRI和结构协方差的多模态框架将纹状体细分为七个亚区。相比之下,研究的方法仅使用基于弥散MRI纤维追踪的结构连接性,并得出五个亚区的最优解。为了进行一致的比较,研究仔细合并了Liu的细分区域,使其与五区配置对齐,在适当的情况下将他们的功能相似区域进行分组。具体来说,研究将主要涉及感觉运动处理的绿色区域与之前研究的尾状核背侧部分进行比较,后者与动作执行密切相关。研究将与视觉处理和情绪调节相关的橙色区域与Liu的尾状核腹侧部分进行比较,后者在情绪和动作执行中发挥作用。研究发现与认知和情绪调节相关的黄色区域与之前研究的腹侧纹状体和头状核进行比较,因为两者都与之前研究的行为解码分析中的认知功能密切相关,头状核还与情绪相关,而腹侧纹状体与感知、味觉、内感受和情绪相关。最后,之前研究的背外侧和背侧纹状体在他们的研究中与特定行为的关联有限或没有强关联,研究将其合并起来与我们的红色和蓝色区域进行比较,这些区域涉及认知控制、执行计划、运动计划和协调。得出的Dice系数为0.542,表明研究的方法与之前的方法之间具有中等程度的一致性。值得注意的是,研究的分割在左纹状体和右纹状体之间产生了对称的结果,而之前研究在他们的亚区划分中观察到在聚类数量较小时存在一些不对称性,这可能是由于他们整合了功能模态。这一比较突显了研究专注于结构的方法和之前研究的多模态方法的互补优势,进一步强化了研究方法的可靠性和适用性。

总之,通过结构连接性分析、与公共图谱的比较以及与现有方法的基准测试,该研究进一步证实了研究最优聚类方案的有效性和可靠性。这些研究成果不仅加深了人们对纹状体结构组织的理解,还为将这种分割方案应用于未来的临床和科学研究领域奠定了坚实的基础。未来的研究可以在此基础上进一步探索纹状体不同亚区在特定神经精神疾病中的作用,为这些疾病的诊断、治疗和预后评估提供新的视角和标准。

4 讨论

该研究介绍了一种基于深度学习的创新方法,利用dMRI数据对纹状体进行精确分割。研究的方法代表了技术上的突破,并为理解纹状体的结构和功能复杂性提供了新的见解。

4.1 方法创新与性能优势

深度学习技术在大脑分区方面展现出显著优势。它们能够学习复杂的数据属性,并且随着数据集的扩大,其性能也会相应提高。传统的大脑细分策略通常只关注目标顶点的连接性信息,忽视了连接配置的上下文关系。然而,深度学习中的卷积操作和注意力机制通过从全局dMRI数据中提取非线性特征,并专注于数据的相关部分,有效地解决了这一问题,从而能够更深入地理解纹状体的解剖结构。此外,经过训练且参数固定的模型可以直接应用于新数据,无需进行大量重新训练,增强了模型的实用性、适应性,同时降低了计算成本。

研究的方法在几个关键方面实现了创新:首先,它采用了个体化的分割策略,显著提高了个体分割的精度;其次,它成功地将dMRI连接性特征应用于纹状体分割;第三,它引入了激活函数的概念,优化了神经网络对图数据的处理;最后,它将传统聚类算法与多头自注意力机制相结合,显著提高了分割的精度和鲁棒性。与传统方法和其他深度学习方法相比,研究的两阶段方法在纹状体分割方面表现出显著优势。这种优势体现在更高的轮廓系数(SC)、Calinski–Harabasz指数(CH)和特征同质性(FH)上。值得注意的是,研究方法在不同的聚类数量下均保持了高性能,表明其在处理复杂脑区结构方面的稳定性和适应性。

引入多头Transformer GraphConv自编码器对于捕捉纹状体体素的潜在空间特征至关重要。这种架构有效地降低了输入数据的维度,最小化了冗余信息和高维噪声,从而提取出更有意义的特征。值得注意的是,尽管压缩后的重建特征有助于提取有用信息,但仅使用传统聚类算法仍然难以实现卓越的聚类结果。这是因为在这一过程中,每个体素都融合了其他相似体素的特征,并纳入了先验知识,这在一定程度上平滑了体素特征,使得聚类更加困难。因此,在微调阶段,研究结合了各种损失组件,包括自编码器重建损失、平均距离损失、深度嵌入聚类(DEC)损失和距离边界损失。通过平衡重建损失和不同分割区域内体素特征的一致性或差异性,这种组合进一步优化了聚类质量。这充分证明了研究采用的两阶段学习策略的有效性和必要性。

在研究的消融研究中,研究将欧几里得距离、几何距离和皮尔逊相关系数等各种类型的先验知识纳入图数据中,以探索不同构建模式对聚类结果的影响。根据之前的研究,dMRI模态下的纹状体分割表现出头尾对称的形态分布,这与大多数fMRI模态的聚类结果形成对比。因此,研究放弃了基于强烈空间假设的几何距离构建方法,并引入激活阈值以减轻低相似度体素之间的连接。此外,研究还评估了图神经网络中各种经典网络架构对自编码器性能的影响。研究的框架在大多数指标上实现了最优性能,但不同的网络架构根据其特性在某些方面表现出更优的性能。例如,ResGatedGraphConv架构在前向传播过程中保留了更多来自前一层的特征,从而便于进行特征同质性高的聚类。

4.2 方法的可重复性和稳定性

研究的方法在个体内的可重复性和半球对称性方面表现出色,增强了同一个体或同质群体内分区的稳健性。高Dice系数不仅反映了研究方法的可靠性,还表明了健康人群中纹状体结构的相对一致性。这一发现对进一步的神经科学研究具有积极影响。它允许进行更准确的个体间比较,并有助于在疾病群体中推断出人群层面的共同模式,这对于研究纹状体在帕金森病、亨廷顿病和精神分裂症等神经疾病中的作用至关重要。此外,研究的方法在不同的聚类配置下展现出的稳健性表明其能够适应不同的研究需求。无论是专注于广泛的解剖区域还是详细的亚结构分析,研究人员都可以根据具体的研究目标定制分割数量。这种灵活性使研究的方法能够广泛应用于不同的神经科学研究领域。

4.3 生物学意义和潜在应用

研究的方法不仅在技术上表现出色,还具有重要的生物学相关性。通过功能连接性分析,研究观察到纹状体的不同亚区表现出与特定纤维束的明确连接性偏好。例如,腹侧纹状体与额叶和眶额皮层的连接更强,而背侧纹状体主要与运动和前运动皮层相连。这些发现与以往的解剖学和功能学研究一致,验证了研究的分割方法的有效性。特别值得注意的是,研究的方法能够捕捉纹状体内的细微结构差异。例如,在涉及五个聚类的最优分割方案中,研究不仅清晰地区分了纹状体的头尾轴和腹背轴,还进一步区分了腹侧壳核和腹内侧壳核。这种精细的分割为研究纹状体在各种认知和行为过程中的作用提供了更精确的解剖学基础。

研究的方法在个体内的高可重复性和半球对称性增强了同一个体或同质群体内分区的稳健性。这一发现对进一步的神经科学研究具有积极影响,允许进行更准确的个体间比较,并有助于在人群层面上推断出共同模式。尽管目前的研究集中在使用公共数据源的健康受试者上,但研究的方法的精确性和稳健性表明其在未来临床研究中具有潜在应用价值。然而,进一步涉及患者数据的研究将有必要验证其临床效用。

5  限制

本研究在纹状体分割方面取得了进展,但仍存在一些限制。首先,研究的方法依赖于高质量的dMRI数据,这意味着它对数据质量和预处理敏感。未来的研究应专注于鲁棒的预处理技术和对噪声具有弹性的神经网络架构。其次,尽管研究的方法在HCP数据集中的个体间显示出潜力,但其在不同设备和中心的普适性需要通过多中心研究进行验证。此外,未来的研究应探索其对病理条件的适应性以及与多模态数据的整合,以提高准确性和临床相关性。第三,数据集大小是影响模型普适性和稳健性的关键因素。在该研究中,使用了80名训练受试者和20名测试受试者,这被认为足以满足本研究的范围,尤其是在与以往研究相比时。此外,研究在其他相关的基于深度学习的dMRI计算任务中也证明了这一点,例如大脑配准、组织分割和纤维追踪分区,100名受试者用于训练和测试通常足以进行稳健的模型训练和评估。然而,扩大样本量可以进一步增强模型的稳健性和对更广泛人群的普适性。更大的数据集将能够进行更全面的验证,并提供更具代表性的样本。未来的研究将探索使用更大的数据集来进一步完善和验证该方法,性能提升的可能性是一个关键的发展领域。最后,为了在大规模和临床环境中更广泛地应用,优化计算效率是必要的。

6 结论

在该研究中,介绍了一种基于dMRI数据的纹状体分割新方法。通过将图神经网络、多头注意力机制和传统聚类算法整合到两阶段方法中,研究在分割纹状体亚区方面实现了高精度和可重复性。这不仅为理解纹状体的结构和功能提供了新工具,还为相关神经性疾病的进一步研究和治疗开辟了新途径。未来的研究可以探索更多样化的数据源、先进的预处理技术和更稳健的模型架构,以进一步提高分割的准确性和适用性,从而推动神经影像学及相关学科领域的发展。

精读分享

主题内容:

研究提出了一种基于弥散磁共振成像(dMRI)纤维追踪和图神经网络(GNNs)的纹状体精细分割方法。提出了一种两阶段的聚类方法,结合了传统聚类算法和深度学习技术。首先,使用基于体素的概率纤维追踪算法和纤维束嵌入技术来捕捉dMRI的连接性模式。然后,利用图神经网络(GNNs)构建纹状体的精确图表示,通过激活函数优化边权重,以保持体素间的关键关系。在预训练阶段,使用Transformer GraphConv自编码器提取潜在空间特征,最小化重建损失。在微调阶段,引入联合损失机制,包括自编码器重建损失、平均距离损失、深度嵌入聚类(DEC)损失和距离边界损失,以优化聚类结果。研究的核心目标是通过先进的神经影像技术和深度学习算法,实现对纹状体的高精度和个性化分割,以更好地理解其在认知和行为中的作用,并为神经和精神疾病的临床研究提供新的工具和见解。

数据:

数据来源:使用的是人类连接组计划(HumanConnectomeProject,HCP)的公开数据,选取了100名无关个体(年龄在2235岁之间,52名女性和48名男性)的高质量多模态神经影像数据,包括T1加权(T1w)成像和扩散MRIdMRI)数据。

dMRI数据特点:dMRI数据具有1.25mm的各向同性分辨率,使用了四个不同的b值(0,1000,2000,3000s/mm²),每个b值对应的壳层有90个扩散方向,以及18b=0的图像。

研究方法:

研究提出基于弥散磁共振成像(dMRI)纤维追踪和图神经网络(GNNs)的两阶段深度学习方法,用于纹状体的精细分割。具体步骤如下:

1预处理和特征提取:使用HCP的最小预处理流程对数据进行预处理,包括运动伪影校正、涡流校正和EPI引起的失真校正等,并使用多模态配准确保解剖学一致性。利用FreeSurfer软件从T1加权数据中提取左右尾状核、壳核和白质的感兴趣区域(ROI),并将ROI掩模下采样至3mm各向同性分辨率。

2连通性矩阵构建:概率纤维追踪:使用基于体素的概率纤维追踪算法,以尾状核ROI作为种子点,追踪到对侧皮层的5000条纤维。全脑纤维分类:使用TractSeg工具将全脑纤维路径分类为72种类型,生成二进制标签。连通性指纹生成:将每个尾状核体素到皮层的连通性特征转换为纤维束空间的连通性特征,生成连通性指纹。

3图构建:以尾状核掩模形成个体图的顶点,连通性特征作为节点属性,并基于激活函数概念优化边权重,构建个体化的尾状核图数据。

3深度学习框架:采用Transformer GraphConv自编码器进行预训练,提取潜在空间特征;在微调阶段,引入联合损失机制(包括重建损失、平均距离损失、深度嵌入聚类损失和距离边界损失)对自编码器参数进行微调,优化聚类性能。

4聚类和评估:使用K-means等传统聚类算法对特征进行聚类,并通过多种评估指标(如轮廓系数、Calinski-Harabasz指数、特征同质性和加权Dice系数)来评估分割性能。

这种方法结合了传统聚类算法和深度学习技术的优势,通过两阶段学习策略(预训练+微调)来优化纹状体的分割效果。

总结:

1技术优势:研究提出了一种新的深度聚类流程,用于自动化的、细粒度的尾状核分割。该方法结合了扩散MRIdMRI)纤维追踪和图神经网络(GNNs),通过编码概率纤维束特征作为节点属性,并优化边权重来增强图的可解释性和准确性。此外,还引入了基于TransformerGraphConv自编码器进行预训练,以及在微调阶段使用新颖的联合损失机制,显著提高了分割精度和解剖保真度。

2性能优势:该方法在多个评估指标上表现出色,包括轮廓系数(SC)、Calinski-Harabasz指数(CH)、特征同质性(FH)和加权Dice系数,显示出良好的聚类质量和解剖保真度。与传统聚类方法和其他深度学习方法相比,该方法在不同聚类数量下均能保持较高的性能,具有更好的稳定性和适应性。

3可重复性:通过留一法(LOORA)评估了方法的可重复性,结果表明该方法在个体间具有高一致性和对称性,这对于神经科学研究和临床应用具有重要意义。

4生物学意义:通过结构连通性分析,发现尾状核的不同亚区与特定纤维束之间存在明显的连通性偏好,这与以往的解剖学和功能学研究结果相一致,进一步验证了该分割方法的有效性。此外,该方法能够捕捉尾状核内细微的结构差异,为研究尾状核在各种认知和行为过程中的作用提供了更精确的解剖学基础。

5临床应用潜力:该方法的精确性和稳健性表明其在临床研究中具有潜在应用价值,尤其是在帕金森病、亨廷顿病和精神分裂症等神经性疾病的诊断、治疗和预后评估中。

限制与未来工作:

尽管该研究在纹状体分割方面取得了进展,但仍存在一些限制。例如,该方法对数据质量和预处理敏感,需要进一步研究鲁棒的预处理技术和对噪声具有弹性的神经网络架构。此外,该方法在不同设备和中心的普适性需要通过多中心研究进行验证。未来的研究还将探索更大的数据集,以进一步提高模型的稳健性和普适性,并优化计算效率,以便在大规模和临床环境中更广泛地应用。


参考文献

Gao J, Liu M, Qian M, et al. Fine-scale striatal parcellation using diffusion MRI tractography and graph neural networks. Med Image Anal 2025;101:103482; doi: 10.1016/j.media.2025.103482


解读:柴逸凡

审核:林增臻

上一篇:eClinicalMedicine:使用可解释的人工智能从功能磁共振成像数据中识别孤独症诊断的关键大脑区域
下一篇:Mol Psychiatr:精神分裂症与大脑铁元素及髓鞘含量不足有关